Der interessante Timer 555 und seine Fähigkeiten

Sie sind hier: WDF-Startseite

Blinklicht-, Abtast- oder Soundsignale sehr einfach erzeugen

Der Timer-Baustein 555 ist ein wirklich universeller Helfer, um mit wenig Aufwand Schaltungen aufzubauen, die in der Lage sind, langsame und schnelle Impulse zu erzeugen. Egal ob Blinklicht-, Abtast- oder Soundsignale gewünscht sind, mit diesem Timer sind Frequenzen von einem Hertz bis zu rund 500 Kilohertz problemlos erzeugbar.

Wann immer möglich, sollten zum Lösen konstruktiver Probleme auf Normteile zurückgegriffen werden. Schließlich macht es keinen Sinn, Muttern, Schrauben oder Zahnräder selbst anzufertigen, wenn es diese preiswert im Fachhandel zu erwerben gibt.

Nichts anderes gilt für den Elektronikbereich. Geht es darum, einen Taktgeber für eine Schaltung aufzubauen, so ist der Timer 555 eine optimale Wahl. Dieses Bauteil ist ein Cent-Artikel, der sehr universell einsetzbar ist. Beispielsweise ist er dank des eingebauten Flip-Flops als Speicher einsetzbar, um Signale festzuhalten, auch wenn diese nur kurz anstanden.

Der integrierte Schaltkreis ist dank seines flexiblen Designs beispielsweise für mono- und astabile Kippstufen, Spannungsinvertierer oder als Schmitt-Trigger nutzbar. Daher ist es wichtig, die interne Verschaltung des Bausteins zu kennen, um die Anschlüsse der Pins korrekt den internen Funktionen zuordnen zu können.

Funktionsblöcke des Timers 555:

Aufbau des Timers 555

Um das Timer-IC 555 korrekt handhaben zu können, ist die Kenntnis wichtig, welcher Pin welche Funktion innehat.

Die Pins haben folgende Zuordnung:

Pin 1: Masseanschluß (Minuspol).

Pin 2: Triggereingang. Die interne Kippstufe des Timers wird gesetzt, wenn hier eine Spannung anliegt, die kleiner als 1/3 der Betriebsspannung ist. Ist dies der Fall, so wird der Ausgang (Pin 3) auf High geschaltet und ein Impuls ausgegeben.

Pin 3: Der Ausgang läuft intern über eine Gegentaktstufe und kann bis etwa 200 mA belastet werden.

Pin 4: Wird dieser Anschluss mit Masse verbunden, so wird der Timer zurückgesetzt.

Pin 5: Der Steuereingang an Pin 5 ist intern mit einem Eingang von Komparator 1 verbunden. Er bleibt normalerweise offen. Allerdings sollte er bei schlechter Stabilisierung der Versorgungsspannung über einen 10 nF-Kondensator mit GND verbunden werden. Dadurch wird verhindert, dass die Schaltung anfängt zu schwingen.

Pin 6: Wird am Eingang für die Schaltschwelle eine Spannung angelegt, die mindestens 2/3 der Betriebsspannung beträgt und zudem an Pin 2 eine Spannung > 1/3 Vcc anliegt, wird die interne Kippstufe zurückgesetzt.

Pin 7: Wenn Pin 3 auf Low schaltet, wird Pin 7 auf Durchlass geschaltet. Diesen Pin kann dazu benutzt werden, um einen Kondensator zu entladen.

Pin 8: Am Vcc-Anschluss wird der Pluspol der Gleichspannungsquelle angelegt. Der Timer 555 arbeitet mit Spannungen, die zwischen 4,5 und 16 Volt liegen dürfen. Die CMOS-Ausführungen arbeiten sogar ab einer Spannung von nur 2 Volt.

Info:

Der Timer 555 ist je nach Modell für Frequenzbereiche von 1 Hertz bis circa 1 Megahertz geeignet.

Die Wahrheitstabelle:

Zum Verständnis der Funktion des Bausteins ist zudem die Kenntnis der Logiktabelle vonnöten. Diese ist nebenstehend abgebildet.

Eine einfache Grundschaltung

Eine einfache Grundschaltung zeigt, dass Pin 3 bei Anlegen einer Spannung an Pin 8 (Vcc, Plus) beziehungsweise 1 (GND, Minus) auf High schaltet, weshalb eine dort angeschlossene LED aufleuchtet.

Der Grund ist die interne Verschaltung des Timers 555. Im Grundzustand ist der Zustand ›4‹ der Logiktabelle wirksam. Damit dieser Zustand eintritt, muss an Pin 6 keine beziehungsweise eine unbestimmte Spannung anliegen, zugleich darf an Pin 2 ebenfalls keine Spannung anliegen. Diese Bedingungen sind erfüllt, da ja überhaupt keine Leitungen in die beiden Pins führen, somit kein Signal beziehungsweise keine Spannung anliegt.

Alternativ ist die Bedingung für Zustand 4 erfüllt, wenn an Pin 2 eine Leitung angeschlossen, die dort vorhandene Spannung jedoch kleiner als 1/3 von Vcc ist. Als Resultat der erfüllten Bedingungen wird Pin 3 auf High gesetzt, was die dort angeschlossene LED aufleuchten lässt.

Eine Flipflop-Schaltung

Im Timer 555 ist ein Flipflop vorhanden, das mit einer einfachen Schaltung gesetzt und zurückgesetzt werden kann. In der Folge wird die LED leuchten oder verlöschen, wenn jeweils ein dafür zuständiger Taster betätigt wird.

Im Timer 555 ist ein Flipflop vorhanden, das mit einer einfachen Schaltung gesetzt und zurückgesetzt werden kann. In der Folge wird die LED leuchten oder verlöschen, wenn jeweils ein dafür zuständiger Taster betätigt wird.

Wenn die Schaltung aufgebaut ist, fällt auf, dass im Gegensatz zur Grundschaltung die LED im Grundzustand zunächst nicht leuchtet. Der Grund ist, dass sich der Timer im Zustand 2 befindet: Über den Widerstand R1 ist die Spannung an Pin 2 größer als 1/3Vcc. Bei 9 Volt wären dies über den Widerstand von 47.000 Ohm und einem Durchlassstrom von 0,085 mA am Timer 555 rund 5 Volt. Dies sind circa 55,55 Prozent von 9 Volt, demnach deutlich über 1/3 der Betriebsspannung.

Wenn Taster T1 betätigt wird, fließt der Strom – von der technischen, nicht von der physikalischen Stromrichtung aus betrachtet – über den Widerstand R1 direkt nach Minus, weshalb am Pin 2 eine geringere Spannung als 1/3 Vcc anliegt. In der Folge wird Pin 3 auf High gesetzt und die LED beginnt zu leuchten. Anders ausgedrückt, befindet sich der Timer laut Logiktabelle nun im Zustand 4.

Dadurch, dass ein Flipflop seine einmal neu eingenommene Position beibehält, leuchtet die LED weiter, selbst wenn Taster T1 nicht mehr betätigt wird. Um die LED zum Verlöschen zu bringen, muss folglich das Flipflop zum erneuten Umschalten gebracht werden. Dies kann durch Betätigen des Tasters T2 geschehen.

Durch Betätigen dieses Tasters steht am Pin 6 eine Spannung an, die dem Wert Vcc entspricht. Laut Logiktabelle genügt am Pin 6 eine Spannung, die größer als 2/3 Vcc ist, um das Flipflop zum Umschalten zu bewegen. Diese Bedingung ist in diesem Fall erfüllt, das Flipflop schaltet um und die LED verlöscht.

Allerdings muss dazu am Pin 2 eine Spannung anliegen, die größer als 1/3 Vcc ist. Dies ist nicht der Fall, wenn der Taster T1 weiterhin betätigt wird. In diesem Fall wird die LED demnach nicht verlöschen. Erst nachdem Taster 1 bei weiterhin betätigtem Taster T2 nicht mehr betätigt wird, schaltet das Flipflop um und die LED verlischt.

Die Monoflop-Schaltung

Eine Monoflop-Schaltung besitzt nur einen stabilen Zustand. Wird daher eine derartige Schaltung angesteuert und aus ihrer Ruhelage herausbewegt, so nimmt sie nach einer gewissen Zeit von selbst wieder ihre Ruhelage ein. Mit dem Timer 555 ist es mühelos möglich, eine derartige Schaltung durch wenige Änderungen der vorhin gezeigten Flipflop-Schaltung aufzubauen. Dazu muss nur der Taster T2 durch einen Elektrolytkondensator ersetzt werden.

Wird der Elektrolytkondensator jedoch falsch eingesetzt, kann die Schaltung nicht funktionieren!

Zum Verständnis ist folgende Überlegung hilfreich: Ganz allgemein kann gesagt werden, dass ein Elektrolytkondensator ähnlich einer Druckfeder funktioniert. Während die Feder Energie speichert, speichert ein Elko Strom. Nun kann man sich vorstellen, dass sich der Strom in der „ungefüllten“ Seite seines Schaltzeichens sammelt und in umgekehrter Richtung von dort wieder abgegeben wird. Im übertragenen Sinn kann man sich eine Druckfeder vorstellen, die ihre gespeicherte Energie auf gleiche Weise wieder abgibt.

Hier erkennt man den Grund, warum ein Elko mit Bedacht in Schaltungen eingebaut werden muss, soll die Schaltung wie gewünscht funktionieren. Daher noch ein weiteres Gedankenexperiment: Es ist hilfreich, sich vorzustellen, der Elko wäre eine Art Druckluftkessel, der über einen Stutzen befüllt wurde und die gespeicherte Druckluft über den gleichen Weg wieder abgibt.

Diese Druckluftabgabe funktioniert jedoch nur, wenn es ein Rohr ins Freie gibt. Die Rolle des „Entlüftungsrohres“ spielt im Timer 555 das Pin 7. Über diesen Pin (Discharge) kann ein Elko entladen werden. Diese Entladung wird im ersten Beispiel durch die falsche Platzierung des Elkos verhindert, weshalb die LED nicht verlöschen würde.

Wird der Elko korrekt platziert, sodass die „leere Seite“ des Elko-Symbols (Plus-Pol) auf Pin 6 beziehungsweise Pin 7 weist, so kann das Elko ein Steuersignal an Pin 6 abgeben und bekommt zusätzlich die Möglichkeit, sich über Pin 7 zu entladen. Der Entladevorgang wird vom Timer 555 durch das Umschalten des internen Flipflops gestartet. Dazu muss laut Logiktabelle der Zustand 2 hergestellt werden.

Dieser Zustand stellt sich im Laufe des Ladevorgangs des Elkos ein. Irgendwann während dieses Ladevorgangs steht kurzzeitig an Pin 6 eine Spannung von mehr als 2/3 Vcc an. Bereits vorher ist an Pin 2 eine größere Spannung als 1/3 Vcc zu messen. In der Folge dieser Konstellation schaltet das interne Flipflop in den Zustand 2, weshalb das Signal an Pin 3 auf Low zurückfällt, daher die LED verlischt. Zugleich entlädt sich der Elko, da Pin 7 in On-Stellung wechselt, was den Weg für die gespeicherten Elektronen nach GND öffnet.

Die Blinklichtschaltung

Durch die Kombination der oben umgesetzten Beispiele ist es möglich, eine Schaltung aufzubauen, die am Pin 3 eines Timer 555-Bausteins ein pulsierendes Signale erzeugt, deren Ein- und Ausschaltzeit individuell bestimmt werden kann. Auf diese Weise ist beispielsweise ein Tongenerator oder eine Blinklichtschaltung möglich.

Beim Betrachten dieser Schaltung fällt auf, dass keine mechanischen Taster mehr vorhanden sind. Dies ist auch logisch, soll das Signal zum Ändern des Schaltzustands des im Timer 555 verbauten Flipflops doch nicht durch manuelles Betätigen eines Schalters erzeugt werden. Vielmehr spielt hier ein Elektrolytkondensator die Rolle des Takt-Dirigenten.

Wird die Stromversorgung der Schaltung aktiviert, so befindet sich die Schaltung laut Logiktabelle zunächst im Zustand 2: Dies bedeutet, an Pin 2 und Pin 6 sind jeweils Spannungen vorhanden, die größer sind als 1/3 Vcc beziehungsweise 2/3 Vcc, weshalb Pin 3 auf Low steht, die LED daher nicht leuchtet. Gleichzeitig ist jedoch auch Pin 7 offen, weshalb sich das Elko über dieses Pin entleert, was dazu führt, dass kurzzeitig an Pin 2 die Spannung unter 1/3 Vcc fällt. In der Folge wechselt der Timer 555 in den Zustand 4, weshalb das interne Flipflop umschaltet und zudem Pin 3 auf High wechselt, daher die LED nun leuchtet.

Die Umschaltung auf Zustand 4 hat zur Folge, dass Pin 7 sperrt, daher das Elko erneut über die Widerstände R1 und R2 geladen wird. Irgendwann liegen an Pin 6 beziehungsweise Pin 2 Spannungen an, die größer als 2/3 Vcc beziehungsweise 1/3 Vcc sind. Daher nimmt der Timer 555 erneut in den Zustand 2 wechselt, weshalb das interne Flipflop wieder zurückschaltet und die LED durch das nun auf Low gehende Pin 3 verlischt. Der Elko kann sich über das erneut durchgeschaltete Pin 7 entladen und der Zyklus startet erneut.

Da die Ladegeschwindigkeit des Elkos von der Größe der Widerstände R1 und R2 beeinflusst wird, ist klar, dass große Widerstände die LED länger leuchten lassen. Da Pin 7 zwischen R1 und R2 geschaltet ist, wird bewirkt, dass der Elko seine Kapazität über R2 entleert, weshalb die Größe dieses Widerstands die Leuchtpause beeinflusst.

Jetzt stellt sich nur noch die Frage, was es mit der Verbindung von Pin 4 nach Vcc auf sich hat. Nun, die Schaltung würde auch ohne diese Verbindung funktionieren. Allerdings besteht die Gefahr, dass das Flipflop nach einer gewissen Zeit durch Spannungsschwankungen nicht sauber umschaltet und daher in diesem Zustand verharrt. Das muss nicht, kann aber sein. Auf der sicheren Seite ist derjenige, der mit dieser Verbindung dafür sorgt, dass das Flipflop stets sauber umschaltet. Die Erklärung ist, dass über Pin 4 ein Reset ausgelöst werden kann, das Flipflop demnach zwangsweise in die Grundstellung gezwungen wird. Dies funktioniert allerdings nur, wenn dieser Eingang auf High steht, was laut Logiktabelle bis auf Zustand 1 in allen anderen Zuständen der Fall ist. Durch den Reset-Zwang funktioniert die Schaltung zuverlässig.

Die Blinkfrequenz bestimmen

Natürlich soll die Blinkfrequenz variabel einstellbar sein, damit je nach Anwendungsfall die Leuchtdauer sowie die Pause zwischen dem Aufleuchten individuell anpassbar sind. Dazu müssen nur die Werte der Widerstände R1 und R2 passend kombiniert werden.

Grundsätzlich sind die beiden Widerstände R1 und R2 sowie der Elko gemeinsam dafür verantwortlich, welches Blinkverhalten die LED aufweist. Die Dauer der Leuchtphase (Impulsdauer ti) ist von der Summe der beiden Widerstände sowie der Kapazität des Kondensators C1 abhängig. Die Formel zu deren Berechnung lautet:

Zu beachten ist, dass in dieser Formel die Widerstandswerte in Ohm sowie die Kondensatorkapazität in Farad einzugeben sind. Zudem besitzt die Konstante K den Wert 0,695.

Folgende Werte sind gegeben:

R1=1 kOhm

R2=10 kOhm

C1=100µF.

Es ergibt sich folgende Leuchtdauer:

Da sich der Kondensator über Pin 7 entleert, somit der Strom nicht durch den Widerstand R1 fließen muss, ist dieser für die Berechnung der Leuchtpause (Impulspause tp) nicht zu berücksichtigen. Die Formel lautet demnach:

Unter Berücksichtigung der oben bekannten Werte ergibt sich eine Leuchtdauer von:

Somit kann beobachtet werden, dass das Verhältnis von Leuchtdauer zu Leuchtpause bei unveränderter Größe des Kondensators vom Verhältnis der beiden Größen (R1+R2) zu R2 abhängt. Dies bedeutet, dass sich beispielsweise ein Verhältnis von 2:1 von Leuchtdauer zu Leuchtpause ergibt, wenn zwei identische Widerstandwerte verwendet werden. Zu beachten ist, dass mit dieser Schaltungslösung eine Leuchtpause, die länger ist als die Leuchtdauer ausfallen soll, nicht realisiert werden kann.

Anzumerken ist zudem, dass der Widerstand R1 mindestens einen Wert von 100 Ohm haben sollte, damit der Timer 555 nicht überlastet wird.

Einsatz einer Diode

Soll erreicht werden, dass Leuchtdauer und Leuchtpause vollkommen unabhängig wählbar sind, so muss der Einsatz einer Diode erfolgen, die den Widerstand R2 überbrückt.

Möchte man beispielsweise eine Leuchtdauer von 1 Sekunde sowie eine Pause von 0,5 Sekunden erreichen, so können die dazu nötigen Werte der Widerstände sowie des Kondensators schrittweise ermittelt werden.

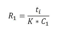
Widerstand R1 ermitteln:

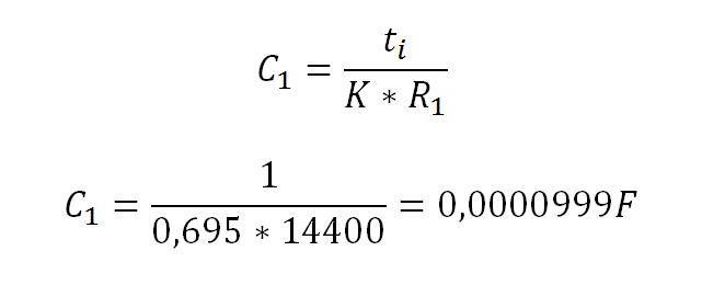
Die Formel zum Berechnen des Widerstands R1 lautet wie folgt:

Die Arbeitswerte lauten:

Impulsdauer ti= 1 Sec.

Konstante K=0,695

Kondensator C1=0,0001F (100µF)

Das Ergebnis lautet:

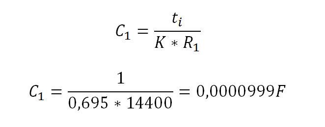
Natürlich gibt es keinen Widerstand mit diesem Wert, weshalb ein Widerstand gewählt werden muss, der in der Nähe des Ergebnisses liegt und käuflich zu erwerben ist. Beispielsweise ein Widerstand mit 14400 Ohm. Nun kann der dazu nötige Kondensator berechnet werden.

Dadurch, dass der gewählte Widerstand in der Nähe des theoretisch berechneten Widerstand lag, ist auch das Ergebnis für den zu wählenden Kondensator in der Nähe des bereits für die Berechnung genutzten Kondensators mit einem Wert von 100 µF, der daher weiterhin genutzt werden kann.

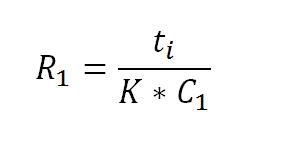
Nun kann die mit den real verwendeten Komponenten erzielbare Impulsdauer berechnet werden.

Die Formel dazu lautet:

Es zeigt sich, dass das Ergebnis sehr nahe am Wunschergebnis liegt und wohl für viele Zwecke genügt. Wenn nicht, so muss eine Lösung mit einem Trimmkondensator, alternativ mit einem Potentiometer gewählt werden, um die Zeit noch präziser einstellen zu können.

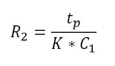
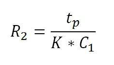
Widerstand R2 ermitteln:

Der Widerstand R2 wird auf die gleiche Weise berechnet, wie der Widerstand R1. Der Unterschied ist lediglich, dass nun die Pausenzeit in die Formel eingesetzt werden muss.

Die Arbeitswerte lauten:

Pausendauer tp= 0,5 Sec.

Konstante K=0,695

Kondensator C1=0,0001F (100µF)

Das Rechenergebnis lautet:

Auch dieser Wert muss auf einen am Markt erhältlichen Widerstandswert gerundet werden. Beispielsweise auf 7.200 Ohm. Wird ein Widerstand mit diesem Wert verwendet, so ergibt sich folgende Pausenzeit:

Auch hier zeigt sich, dass die gewünschte Pausenzeit sehr gut getroffen wurde und die Schaltung wohl den Ansprüchen genügen wird. Wenn nicht, so kann mit einem Potenziometer die Pausendauer noch exakter eingestellt werden.


********